|
[ Index ] |
|

Bisection Method
- Similar to binary search
Starting with two numbers a and b such that
1. a<b
2. ( f(a)<0 and f(b)>0 ) or ( f(a)>0 and f(b)<0 ) ie f(a)
and f(b) have different signs and neither are 0
This means that there is an x in [a,b] such that f(x)=0

c is the average of a and b ( c = (a + b)/2 )
If f(a) and f(c) have opposite signs, then a zero lies
in [a,c]
Otherwise a zero lies in [c,b] but if f(c)=0 then c is a zero so stop
Example:
sin(x)=1/2 (x in degrees)
f(x) = sin(x) - 1/2 = 0
start for example, with a=0 and b=50 f(0)= sin(0) - 0.5 = 0 - 0.5 = -0.5
f(50)=sin(50) - 0.5 = 0.266
f(a)<0 and f(b)>0 ==> OK
| a | b | c | f(c) |
| 0 | 50 | 25 | -0.077 |
| 25 | 50 | 37.5 | 0.1087 |
| 25 | 37.25 | 31.25 | 0.018 |
| 25 | 31.25 | 28.125 | -0.02 |
c approaches 30
Error

At step n,

If we want to approximate with error < E how many steps
do we need?


Example:
From previous example, if we need to approximate with E < 0.01:

which yields
![]()
So we pick n to be 13 (ie we will iterate 13 timesto be sure we have an error
less than 0.01)
False Position (Regula Falsi)
| Similar to bisection method | |
| Requires an interval [a,b] where a zero is found | |
| converges faster than bisection |

A line is subtended between (a,f(a)) and (b,f(b))
(c,0) is the intersection of the line and the x-axis
If f(a) and f(c) have opposite signs, then a zero lies in [a,c]
Otherwise a zero lies in [c,b] but if f(c)=0 then c is a zero so stop
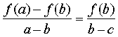
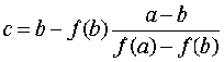
How to compute c?
We know:

so combine those two:



Example:
sin(x) = 1/2
f(x) = sin(x) - 1/2 = 0
Start with a=0, b=50
| Iteration | a | f(a) | b | f(b) | c | f(c) |
| 0 | 0 | sin(0) - 0.5= -0.5 | 50 | 1.266 | 32.637 | sin(32.637) = 0.0393 |
| 1 | 0 | -0.5 | 32.637 | 0.0393 | 30.259 | 0.0039 |
| 2 | 0 | -0.5 | 30.259 | 0.0039 | 30.0248 | 0.000375 |
When to stop the iterations?
When the method converges to the desired percision
| Horizontal Convergence Instead of expecting f(x)=0, expect f(x) to be within a small error E:
Geometrically, this means that the zero is in a
horizontal band | |||||||
| Vertical Convergence Stop when x is at a distance <delta> away from P (the solution)
| |||||||
| Horizontal & Vertical Convergence Use both horizontal and vertical convergence ![]() |
Troublesome finctions
If the graph y=f(x) is steep near the root (P, 0)
then the root finding is well conditioned
| |||
| If the graph y=f(x) is shallow near (P, 0) then the root finding may only have a few significant digits. |
Webpage by Emil Stefanov