Monday, July 4th, 2011: Independence Day, No Class
Tuesday, July 5th, 2011


Curve Fitting
Given a set of points, build a curve that fits the points
Polynomial Approximation:
- Polynomial passes through all points;
- For example, if you have 30 points, this will give you a
polynomial of degree 29,
;
- High degree polynomials have many zeros, maximums and minimums;
- Polynomial will pass through all points but it may be oscillating in between;
- Not smooth.
Curve fitting:
- You choose the type of curve you want;
- Find the parameters in the curve that reduce the error;
- There is not guarantee that curve passes through all points but it minimize the error
Least Squares Line:

Example:
Assume the following data

Wednesday, July 6th, 2011
(Continued)

-------

Thursday, July 7th, 2011
|
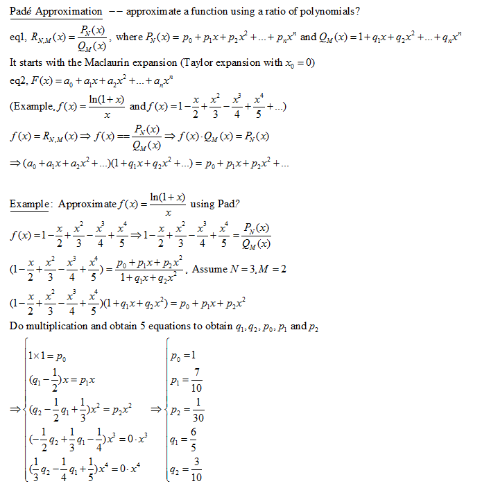
CS314 Mid-term Ø Floating point binary representation Ø Propagation of errors Ø Solution of non-linear equations - Fix point theorem - Types of convergence + Monotone convergence + Oscillating convergence + Monotone divergence + Oscillating divergence - Bisection method - False position method + Horizontal convergence + Vertical convergence + Both horizontal convergence and vertical convergence + Well continued and ill continued root finding - Newton Raphson + Obtain Newton Raphson using Taylor expansion + Numerical approximationg of a derivative + Order of convergence - Secant Method Ø Solution to linear equation AX= B - Properties of vectors - Vector algebra - Matrices - Property of matrices - Special matrices + Zero matrix + Identity matrix + Matrix Multiplication + Inverse of a matrix - Upper triangular matrices - Backward substitution - Gauss elimination - LU factorization, (triangular factorization) - Gauss elimination vs. LU factorization for multiple systems of equations with the same A Ø Iterative methods for linear equation - Gauss Seidel - Jacobi - Convergence of the iterative methods and Strictly Diagonal Dominant Matrices. Ø Solution of systems of non-linear equations using the Newton Method Ø Interpolation and polynomial approximation - Taylor approximation - Horner’s method to evaluate polynomials - Lagrange Approximation - Newton polynomials + Divided differences - Pade Approximation with quotient of polynomials --------------------- For the exam: - You can bring one page with one side of formulas/notes or anything to exam. - Exam is likely to be Thursday, July 14th (evening). More information later. - You can see all the old exams in the class web page. - Study class notes, homework and book.
|


Friday, July 8th, 2011



